x 2 _ 2xy y 2 9z 2 2xy x 2 y 2 16 2x 2 4x 2 2y 2 Theo dõi Vi phạm YOMEDIA Toán 8 Bài 8 Trắc nghiệm Toán 8 Bài 8 Giải bài tập Toán 8 Bài 8 Trả lời (4) a) \(x^22xyy^29z^2\) \(=\left(xy\right)^2\left(3z\right)^2\) Ex 95, 15 For each of the differential equations in Exercises from 11 to 15 , find the particular solution satisfying the given condition 2𝑥𝑦𝑦^2−2𝑥^2 𝑑𝑦/𝑑𝑥=0;𝑦=2 When 𝑥=1 Differential equation can be written 𝑎s 2𝑥𝑦𝑦^2−2𝑥^2 𝑑𝑦/𝑑𝑥=0 2𝑥𝑦𝑦^2= 2𝑥^2 𝑑𝑦/𝑑𝑥 2𝑥^2 𝑑𝑦/𝑑𝑥=2𝑥𝑦𝑦^2 𝑑𝑦/Y \\geq 0 \\end{Bmatrix} By
Solve X Y Z 4 X 2y 2z 9 2x Y 3z 1 Brainly In
9-x^2+2xy-y^2
9-x^2+2xy-y^2-(4x•(y 2))•((2xy((3•(x 2))•y))2xy 3) Step 2 Equation at the end of step 2 (4x•(y 2))•((2xy(3x 2 •y))2xy 3) Step 3 Equation at the end of step 3 2 2 xy 2 • (3x 2 y 2xy 3 2xy) Step 4 Step 5 Pulling out like terms 51 Pull out like factors 3x 2 y 2xy 3 2xy = xy • (3x 2y 2 2) Trying to factor aTìm giá trị nhỏ nhất của biểu thức D=2x^2 y^2 2xy 2x 4y 9 Tìm giá trị nhỏ nhất của biểu thức D D=2x^2 y^2 2xy 2x 4y 9 Theo dõi Vi phạm YOMEDIA



Answered 9 Find The Product X Y X Y K Bartleby
Algebra Factor x^22xyy^2 x2 2xy y2 x 2 2 x y y 2 Check that the middle term is two times the product of the numbers being squared in the first term and third term 2xy = 2 ⋅x⋅y 2 x y = 2 ⋅ x ⋅ y Rewrite the polynomial x2 2⋅x⋅yy2 x 2 2 ⋅ x ⋅ y y 2Equations Tiger Algebra gives you not only the answers, but also the complete step by step method for solving your equations 16x^22xyy^2 so that you understand betterSolve your math problems using our free math solver with stepbystep solutions Our math solver supports basic math, prealgebra, algebra, trigonometry, calculus and more
Share It On Facebook Twitter Email 1 Answer 1 vote answered by Tahseen Ahmad (301k points) selected by ShasiRaj Best answer Given xSolve your math problems using our free math solver with stepbystep solutions Our math solver supports basic math, prealgebra, algebra, trigonometry, calculus and moreGRE All you do need to know about the GRE Test GRE Prep Club for the GRE Exam The Complete FAQ Search GRE Specific Questions Download Vault Posting Rules QUANTITATIVE VERBAL FREE Resources
Factorise this 9x^22xyy^2 Get the answers you need, now!X 2 y 2 = 9 x 2 y 2 = 9 Take the square root of both sides of the equation to eliminate the exponent on the left side x = ± √ 9 y 2 x = ± √ 9 y 2 x 2 y 2 = 9 x 2 y 2 = 9 The complete solution is the result of both the positive and negative portions of the solution Tap for more steps Add x 2 2xy y 2 to the sum of x 2 – 3y 2 and 2x 2 – y 2 9 algebraic expressions;



Ex 2 5 3 Factorise Following Using Appropriate Identities



Factorise The Following Using Appropriate Identities I 9x 2 6xy Y 2 Ii 4y 2 4y 1 Iii X 2 Y 2 100 Sarthaks Econnect Largest Online Education Community
Factor the expressions that are not already factored Cancel out xy in both numerator and denominator Expand the expression Multiply \frac {y^ {2}2xyx^ {2}} {x^ {2}y^ {2}} times \frac {2x} {xy} by multiplying numerator times numerator and denominator times denominatorSo we have an equation of the form, mathM(x,y)\text{d}xN(x,y)\text{d}y=0/math Where mathM=(xy)^2,N=(2xyx^21)/math Thus this is an exact differentialUse separation of variables to solve the differential equation dy/dx 2xy^2 = 0 or equivalently written as y'2xy^2=0The steps to solving a DE by separation



Answered Find The Gcf And The Lcm Of The Bartleby



Solve 2x Dy Dx 3y 9x 3 Solve Dy Dx 2xy 3x 2 Chegg Com
Risolvi i problemi matematici utilizzando il risolutore gratuito che offre soluzioni passo passo e supporta operazioni matematiche di base prealgebriche, algebriche, trigonometriche, differenziali eSolve your math problems using our free math solver with stepbystep solutions Our math solver supports basic math, prealgebra, algebra, trigonometry, calculus and moreClick here👆to get an answer to your question ️ Factorise x^2 y^2 z^2 2xy



Y E X 2 2xy Y 2 0 Y X 2 E X 2 Xy Y Chegg Com



Solve I A A 2 B B 2 Ii 9 X 2xy Y Maths Factorisation Meritnation Com
Tenemos la ecuación $$ \frac{2 x^{2} y^{2}{\left(x \right)}}{3 x^{2} 2 x y{\left(x \right)}} \frac{d}{d x} y{\left(x \right)} = 0$$ Sustituimos The factors are (xy)(xy) or (xy)^2 We need to factor the trinomial x^22xyy^2 The factors of x^2 = (x)(x) The factors of y^2 = (y)(y) Since the second sign is positive we are adding the factors meaning the signs of the factors need to be the same Since the first sign is negative both signs must be negativeGet stepbystep solutions from expert tutors as fast as 1530 minutes Your first 5 questions are on us!



Factorise The Following Using Appropriate Identities I 9x 2 6xy Y 2 Ii 4y 2 4y 1 Iii X 2 Y 2 100 Sarthaks Econnect Largest Online Education Community



9x 2 2xy Y 2 9can U Factorise This Brainly In
Solution for X^2y^2=2xy equation Simplifying X 2 1y 2 = 2xy Solving X 2 1y 2 = 2xy Solving for variable 'X' Move all terms containing X to the left, all other terms to the right Add 'y 2 ' to each side of the equationSystemofequationscalculator 2x 3y = 9, y = x 2 en Related Symbolab blog posts High School Math Solutions – Systems of Equations Calculator, Elimination A system of equations is a collection of two or more equations with the same set of variables In this12 x2 2xy y2 is a perfect square It factors into (xy)• (xy) which is another way of writing (xy)2 How to recognize a perfect square trinomial • It has three terms • Two of its terms are perfect squares themselves • The remaining term is twice the product of the square roots of the other two terms



Factorise This 9 X 2 2xy Y 2 Brainly In



If The Distance Of The Centre Of The Ellipse 4 X 2y 1 2 9 2x Y 2 2 25 From The Origin Is Youtube
Extended Keyboard Examples Upload Random Compute answers using Wolfram's breakthrough technology & knowledgebase, relied on by millions of students & professionals For math, science, nutrition, history, geography, engineering, mathematics, linguistics, sports, finance, musicSimple and best practice solution for x^22xyy^2=6 equation Check how easy it is, and learn it for the future Our solution is simple, and easy to understand, so 9 (xy)(xy) The terms x^22xyy^2 is equal to (xy)(xy) 2524 views around the world You can reuse this answer Creative Commons License



Ex 2 5 Qno 3 1 Factorise 9x 2 6xy Y 2 By Suitable Identity Class 9 Youtube



Factorization
Equations Tiger Algebra gives you not only the answers, but also the complete step by step method for solving your equations 1x^22xyy^2 so that you understand betterThe quotient is therefore, (xy) (21) = (xy) 1 Omit the ' 1 ' in the exponent altogether Anything to the first power is the number itself so there is usually no reason to write down the ' 1Extended Keyboard Examples Upload Random Compute answers using Wolfram's breakthrough technology & knowledgebase, relied on by millions of students & professionals For math, science, nutrition, history, geography, engineering, mathematics, linguistics, sports, finance, music



Solve The Problem At The Two Points Where The Curve Chegg Com



Factorise This 9 X 2 2xy Y 2 Brainly In
The algebraic identities for class 9 consist of identities of all the algebraic formulas and expressions You must have learned algebra formulas for class 9, which are mathematical rule expressed in symbols but the algebraic identities represent that the equation is true for all the values of the variables For example;Extended Keyboard Examples Upload Random Compute answers using Wolfram's breakthrough technology & knowledgebase, relied on by millions of students & professionals For math, science, nutrition, history, geography, engineering, mathematics, linguistics, sports, finance, musicAnswer to Evaluate the following integral \\iint_{R} 2xy \\ dA;



Http Www Ecole Suger Com Wp Content Uploads 16 06 Corrig C3 De Devoirs De Vacances Pdf



Find Slope Of Tangent Line To Curve 2xy Y 3 4 At 3 2 Youtube
Solution for 2xy=9 equation Simplifying 2x 1y = 9 Solving 2x 1y = 9 Solving for variable 'x' Move all terms containing x to the left, all other terms to the right Add 'y' to each side of the equation 2x 1y y = 9 y Combine like terms 1y y = 0 2x 0 = 9 y 2x = 9 y Divide each side by '2' x = 45 05y Simplifying xSimple and best practice solution for x^22xyy^2=9 equation Check how easy it is, and learn it for the future Our solution is simple, and easy to understand, so don`t hesitate to use it as a solution of your homework If it's not what You are looking for type in the equation solver your own equation and let us solve it2xy9x^2 (2yx^21) (dy)/ (dx)=0, y (0)=3 \square!



Answered 9 Find The Product X Y X Y K Bartleby



If X And Y Are Two Real Quantities Connected By The Equation 9x 2 2xy Y 2 92x y 244 0 Then Will X Lie Between 3 And 6 And Y Between 1 And 10
(x1) (x2) = x 2 3x 2Plot 3x^22xyy^2=1 WolframAlpha Assuming "plot" is a plotting function Use as referring to geometryShreyesh2 shreyesh2 Math Secondary School answered Factorise this 9x^22xyy^2 2 See answers



Factorise 1 9 2x Y 2 4 2x Y 13 2 X 2 4x X 2 4x 1 Brainly In



Http Www Ecole Suger Com Wp Content Uploads 16 06 Corrig C3 De Devoirs De Vacances Pdf
Therefore, ( x y − 10) 2 = ( y − 4) 2 = 0, which means that y = 4 is the only possible value In total, we have four possible integer values for x and six possible integer values for y The answer to your question is therefore 24 9 x 2 2 x y y 2 − 92 x − y 244 = 9 ( x − 5) 2 ( 2 x y − 19) ( y − 1)How do I solve (X*22xyy*2) dx (y*22xyx*2) dy=0?It is homogeneous equation



Najdite Znachenie Vyrazheniya X 2xy Y 5x 5y 16 Esli X Y 9 Shkolnye Znaniya Com



Phan Tich Cac đa Thức Yx 2 2xy Y Thanh Nhan Tử Trần Mai Trang
Thanks for A At first let's write the equation math4x^22xy3y=9/math Now, Differentiating on both sides math\implies \dfrac {d}{dx}(4x^22xy3y)=\dfrac Re x2−2xyy2=0 and xy = 9 #permalink , 1804 sandy wrote This is one of the questions you need to pay attention Given x 2 − 2 x y y 2 = 0 or ( x − y) 2 = 0 or x = y Also given that x y = 9, substituting value of x in terms of y or y 2 = 9 Here y can have 2 values 3 and 3 Hence D is correctFactories x*2 xy2y2 y*3 x^2xy2y2y^3x^22xyxy^22y^3xx2yy^2x2yxy^2x2y ANS Please scroll down to see the correct answer and solution guide



Solve The Following Simultaneous 1 3a 5b 26 A 5b Scholr



Find The Minimum Value Of 9x 2 2y 2 8xy 6x 11 Mathematics Stack Exchange
If x^22xyy^2=9, then xy ^4= A 3 B 18 C 27 D 36 E 81 Kudos for RAE GRE Prep Club OFFICIAL Android App New to the GRE, and GRE CLUB Forum?Find dy/dx x^2xyy^2=9 Differentiate both sides of the equation Differentiate the left side of the equation Tap for more steps Differentiate Tap for more steps By the Sum Rule, the derivative of with respect to is Differentiate using the Power Rule which states that is whereClick here👆to get an answer to your question ️ The focus of the parabola x^2 y^2 2xy 6x 2y 3 = 0 is The circle x 2 y 2 = 5 meets the parabola y 2 = 4 x at P and Q Then the length P Q is equal to View solution A n equilateral triangle is inscribed in the parabola y 2 = 2 1



Find An Equation Of The Tangent Plane To The Surface Chegg Com



Li 8 G X Y X2 9 X Y 9 G X Y Xy 10 H X Y Chegg Com
Factor 3x^22xyy^2 Factor by grouping Tap for more steps For a polynomial of the form , rewrite the middle term as a sum of two terms whose product is and whose sum is Tap for more steps Reorder terms Reorder and Factor out of Rewrite as plus Apply the distributive propertyClick here👆to get an answer to your question ️ Factorize x^2 y^2 x y 2xyClick here👆to get an answer to your question ️ Factorise (x^2 2xy y^2) z^2



Bai 55 Phan Tich Cac đa Thức Sau Thanh Nhan Tử 1 X 2 9y 2 4x 12y 3 X 2 2xy Y 2 25 5 X 2 6x 2 9x 7 X 2 X 2 Y Xy 2 Y 3 9 9 X 1 2



Solve Each Other Pair Of Equation Given Below Using Elimination Method 3 X 2 Y 9 Xy 9 X 4 Y 21 Xy Mathematics Topperlearning Com 59bn37qq
Solution for X^22xyy^29=0 equation Simplifying X 2 2xy y 2 9 = 0 Reorder the terms 9 X 2 2xy y 2 = 0 Solving 9 X 2 2xy y 2 = 0 Solving for variable 'X' Move all terms containing X to the left, all other terms to the right Add '9' to each side of the equation 9 X 2 2xy 9 y 2 = 0 9 Reorder the terms 9 9 X 2 2xy y 2 = 0 9 Combine like termsAnswer (x 2 y 2) = (x y) 2 – 2xy or (x – y) 2 2xy Fixed Capital (FC) indicates the investment of the fund generated in the company's longterm belongings During its primary stage, it is a mandatory requirement of an organizationR = \\begin{Bmatrix} (x,y) x^2 y^2 \\leq 9, \\;



A 9 9 2x Y2 5 A 4x2 4xy Y2 B X2 2xy Y2 C 4x2 Y2 Gauthmath



If X Y 9 And Xy Then Find The Value Of X 2 Y 2 Youtube
1/ chuyển vế đổi dấu ta có \(x^22xyy^2=(xy)^2\) Mà một cái bình phương luôn luôn lớn hơn hoặc bằng 0 => BĐT ban đầu đúng 2/ Chứng minh x2y2(x2y2) 2 Bất đẳng thức và cực trị Diễn đàn Toán học 3/Algebra Factor 9x^2y^2 9x2 − y2 9 x 2 y 2 Rewrite 9x2 9 x 2 as (3x)2 ( 3 x) 2 (3x)2 − y2 ( 3 x) 2 y 2 Since both terms are perfect squares, factor using the difference of squares formula, a2 −b2 = (ab)(a−b) a 2 b 2 = ( a b) ( a b) where a = 3x a = 3 x and b = y b = y



If X And Y Are Real Numbers Connected By The Equation 9x 2 2xy Y 2 92x y 244 0 Then The Sum Of Maximum Value Of X And The Minimum Value Of Y Is



Ex 9 5 15 Class 12 Find Solution 2xy Y 2 2x 2 Dy Dx 0 When



Rd Sharma Class 9 Chapter 5 Factorization Of Algebraic Expressions Updated For 21 22



0 18 Factorise 2 X Y 2 9 X Y 5 Brainly In



X 2y 2 9 2x Y 2 Factorise This Equation Maths Factorisation Meritnation Com



2 A X Y B X2 Xy Y2 C X4 X2y2 Y4 D 81x4 Y4 22x2y2 Gauthmath



Find Y And Y By Implicit Differentiation X2 Xy Chegg Com



Solved Without Solving The System Of Equations Write The Lagrangian Function And The First Order Conditions For Z X2 2xy Yw2 Subject To 2x Course Hero



Class 9 Polynomial 2 Coordinate Geometry Linear Equation In Two Variables Euclid S Geometry Lines And Angles Notes



Solve X Y Z 4 X 2y 2z 9 2x Y 3z 1 Brainly In



3 X Y 2 X Y 2 And 9 X Y 4 X Y 1solve For X And Y By Elimination Method Brainly In



Add X2 2xy Y2 To Sum Of X2 3y2 And 2x2 Y 2 9 Brainly In



Scarpelli Assignment 2



Find The Hcf Of B2 And A B2 B X2 Y2 And X2 2x Gauthmath



Solve For X And Y 2 2x Y 1 X 2y 5 9 0 9 2x Y 6 X 2y 4 0 Maths Pair Of Linear Equations In Two Variables Meritnation Com



Factorise 4 X Y 2 12 X Y X Y 9 X Y 2 Brainly In



Factorize 2 X Y 2 9 X Y 5 Sarthaks Econnect Largest Online Education Community



Reshite Sistemu Uravnenij X 2 2xy Y 2 9 2x Y 5 Shkolnye Znaniya Com



Simplify I X 4 3x 4y X 9x 2 16y 2 2x 2 3x Ii X 3 Y 3 3x 2 9xy 6y 2 X X 2 2xy Y 2 X 2 Y 2 Sarthaks Econnect Largest Online Education Community



Class 9 Polynomial 2 Coordinate Geometry Linear Equation In Two Variables Euclid S Geometry Lines And Angles Notes



X Y Z 5 2x Y Z 9 X 2y 3z 16 Brainly In



Ex 14 2 3 Ix Factorise 6xy 4y 6 9x Chapter 14 Ncert



Factorize 9 X Y 2 16 X 2y 2 Brainly In



Given That X Y 3 And 3x Y 17 Find Without Solving For X And Y The Value Of A 2xy X Sup 2 Sup Y Sup 2 Sup B 6xy Y Sup 2 Sup 9x Sup 2 Sup C 3x Sup 2 Sup 2xy Y Sup 2 Sup



Iv 49y2 84yz 3622 Tuplj M 25m 30 Vi bc 1602



Factorise 2 X Y 9 X Y 5 Brainly In



Solve For X And Y In The Following Question 2 X 2y 1 2x Y 5 9 0 9 X 2y 6 2x Y 4 0 Sarthaks Econnect Largest Online Education Community



3x 2y 9 X2 Y2 2xy 4 Gauthmath



2 X 2 2 2 2 X 4 2



Bai Tập Chứng Minh đẳng Thức Miny Vn Cộng đồng Hỗ Trợ Học Tập



Reshite Sistemu Uravnenij X 2 2xy Y 2 9 2x Y 5 Shkolnye Znaniya Com



2 A X Y B X2 Xy Y2 C X4 X2y2 Y4 D 81x Y 22x3y2 E Gauthmath



Example 18 Show Curves Slope Of Tangent Is X2 Y2 2xy



Find The Equilibrium Points In The Dynamics Of The Following System Analyse The Stability Of Each Homeworklib



Exercise 1 X2 2xy Lim X Y 2 1 3 4y2 A B 2 3 C Chegg Com



Hanrahashiv9 3 Gev 1 By User Issuu



Q Tbn And9gcq8jeckpyefv6nxxng4iwjfl7hsluh Liz05p1lqjy Usqp Cau



Drill Graph The Linear Equation 1 Y 2x X 3y Ppt Download



Factorise N Begin Array L L Text I 4 P 2 9 Q 2 Text Ii 63



A 9 9 2x Y2 5 A 4x2 4xy Y2 B X2 2xy Y2 C 4x2 Y2 Gauthmath



Consider The Initial Value Problem Chegg Com



Phan Tich đa Thức Thanh Nhan Tử X 2 2xy 9 Y 2 Toan Học Lớp 8 Bai Tập Toan Học Lớp 8 Giải Bai Tập Toan Học



Please Solve Question No 10 And 11 Factorise The Following 10 11 I 9 X2 2xy Y2 0 9x4 A X2 A A 36 Maths Factorisation Meritnation Com



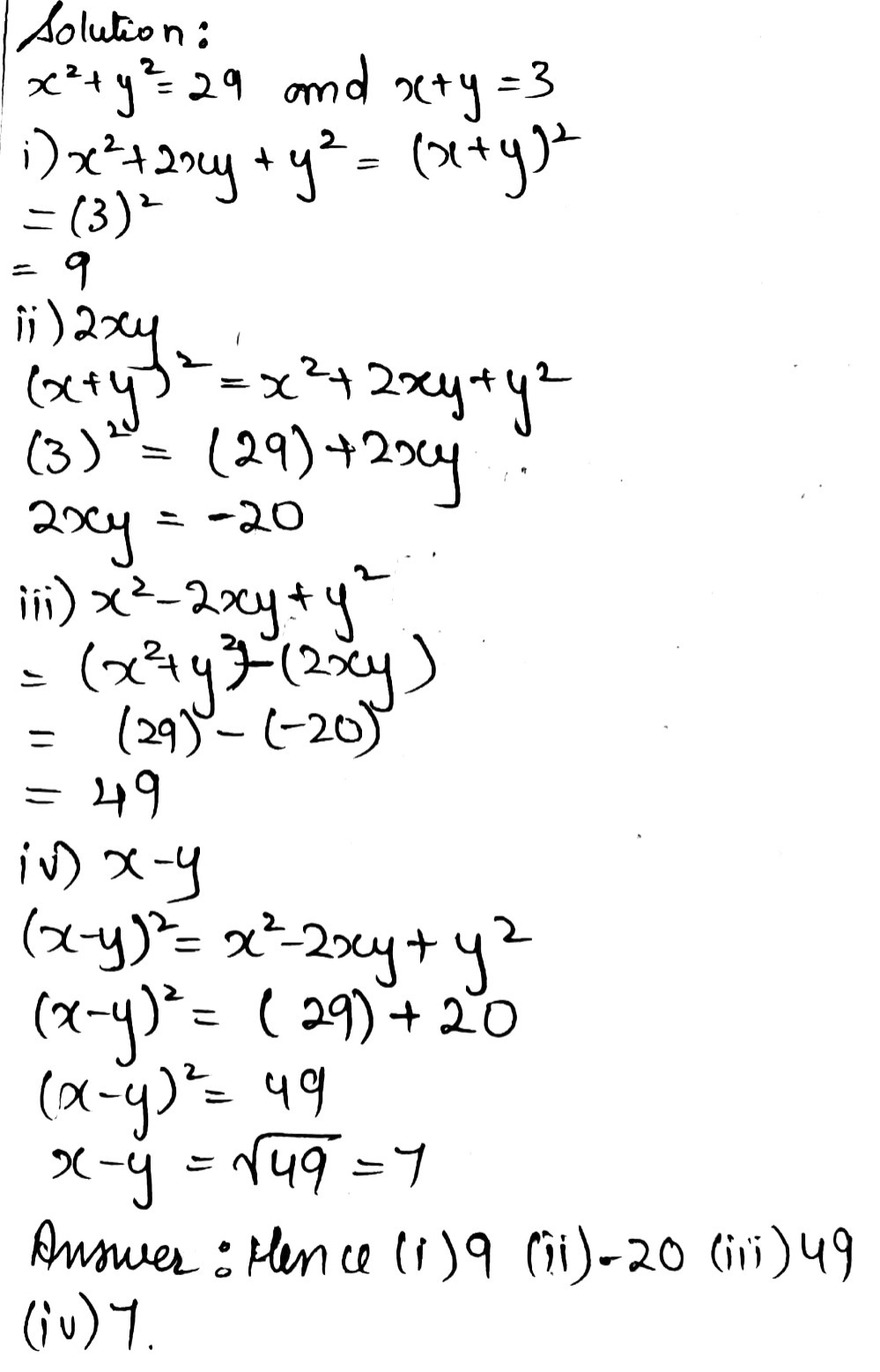
7 1f X2 Y2 29 And X Y 3 22 Prefer Calling Sir Obie Gauthmath



Find The Following Products 3 X 2 Y 9 X Square 6 X Y 4 Y Square Brainly In



R D Sharma Solutions Class 7 Math Chapter 7 Algebraic Expressions Exercise 7 2



Find The Hcf Of B2 And A B2 B X2 Y2 And X2 2x Gauthmath



If X 3 Y 3 9 And X Y 3 Then What Is The Value Of X 4 Y 4 Quora



Telangana Scert Class 9 Math Solution Chapter 2 Polynomials And Factorisation Exercise 2 5



Find The Slope Of Each Line Y 9 2 X 5 Y 5 3 Chegg Com



Ex 9 4 3 Vi Simplify X Y X 2 Xy Y 2 Chapter 9 Class 8



2xy 9x 2 2y X 2 1 Y 0 Exact Method Youtube



Sketch The Surface X 2 4 Y 2 9 Z 2 1 Find The Chegg Com



Solve The Following Systems Of Equations 3 X Y 2 X Y 2 9 X Y 4 X Y 1 Sarthaks Econnect Largest Online Education Community



How Do You Solve By Substitution 2x Y 9 And 4x Y 15 Socratic



Solve 3x Y 2x Y 2 9x Y 4x Y 1



Search Q 9x 5e2 4 Y 2b2x 5e2 Tbm Isch



Algorithm For X 2 Xy Y 2 Z 2 With The Solution 1 1 1 That Download Scientific Diagram



9 X 4 Y 7 2 X Y 4 3y Mathematics Topperlearning Com 5inhk66



2 A X Y B X2 Xy Y2 C X4 X2y2 Y4 D 81x Y 22x3y2 E Gauthmath



Factorise 9 2x Y 2 X Y 2 Above Equation Maths Algebraic Identities And Factorisation Meritnation Com



If X 1 And Y 2 By Using The Identity Find The Following I 4y 2 9x 2 16y 4 36x 2y 2 81x 4 Ii X 2y X 2 2xy 4y 2



2x2 2xy Y2 2x 1 0 See How To Solve It At Qanda



25 2x Y 2 16 X 2y 2



Q Tbn And9gcrfpdrqhxid4zwhitxrjf Yapyzukv O7fkw721c Sieabvuftr Usqp Cau



Please Solve Factorise The Following 9 X Y Whole Square X Square Maths Factorisation Meritnation Com



What Is The Solution To This Ode 3x 2 4xy Y 2 Dx 2x 2 2xy 9 Dy 0 Quora



Factorise 9x 2 Y 2 Z 2 6xy 2yz 6zx And Hence Find It S Value When X 1 Y 2 And Z 1



Solve For Y For Each 1 2x Y 9 2 X Y 2y 4 3x 4 2 Y X 5 7x Y 8 6 3y 1 3x 2x 2x Ppt Video Online Download



Review Problems In Problems 1 30 Solve The Equation Chegg Com



Phan Tich đa Thức Thanh Nhan Tử X 2 2xy Y 2 9 Toan Học Lớp 8 Bai Tập Toan Học Lớp 8 Giải Bai Tập Toan Học



4a2 12a 9 X2 2xy Y2 Please Solve It Asap Maths Factorization Meritnation Com



15 X 2 And Y 3 Show That A X Y2 X2 2xy Y B Gauthmath


0 件のコメント:
コメントを投稿